Виленкин отрицательные числа 6 класс

Как сложить отрицательные числа. Виленкин отрицательные числа. Самостоятельная по теме координатная прямая. Виленкин отрицательные числа 6 класс. Положительные и отрицательные числа.
Как сложить отрицательные числа. Виленкин отрицательные числа. Самостоятельная по теме координатная прямая. Виленкин отрицательные числа 6 класс. Положительные и отрицательные числа.
Виленкин отрицательные числа 6 класс. Формулы сложения и вычитания отрицательных и положительных. Отрицательные числа на координатной прямой. Отрицательные числа на прямой. Контрольные работы 6 класс математика виленкин 3 вариант.
Виленкин отрицательные числа 6 класс. Формулы сложения и вычитания отрицательных и положительных. Отрицательные числа на координатной прямой. Отрицательные числа на прямой. Контрольные работы 6 класс математика виленкин 3 вариант.
Сложение отрицательных и положительных чисел примеры. Проверочная работа положительные и отрицательные числа. Проверочная работа положительные и отрицательные числа 6 класс. Виленкин отрицательные числа 6 класс. Самастойтельное работ.
Сложение отрицательных и положительных чисел примеры. Проверочная работа положительные и отрицательные числа. Проверочная работа положительные и отрицательные числа 6 класс. Виленкин отрицательные числа 6 класс. Самастойтельное работ.
Виленкин отрицательные числа 6 класс. Контрольная работа по математике 6 класс координатная прямая модуль. Виленкин отрицательные числа 6 класс. Виленкин упражнение 949. Сложение отрицательных чисел.
Виленкин отрицательные числа 6 класс. Контрольная работа по математике 6 класс координатная прямая модуль. Виленкин отрицательные числа 6 класс. Виленкин упражнение 949. Сложение отрицательных чисел.
Виленкин отрицательные числа 6 класс. Умножение дробей 6 класс самостоятельная работа. Виленкин отрицательные числа 6 класс. Решение задач 1203. Координатная прямая 6 класс самостоятельная.
Виленкин отрицательные числа 6 класс. Умножение дробей 6 класс самостоятельная работа. Виленкин отрицательные числа 6 класс. Решение задач 1203. Координатная прямая 6 класс самостоятельная.
Тема по математике 6 класс координатная прямая. Виленкин отрицательные числа 6 класс. Самостоятельная работа по математике 6 класс дроби. Контрольная 6 класс математика виленкин. Положительные и отрицательные числа 6 класс проверочная.
Тема по математике 6 класс координатная прямая. Виленкин отрицательные числа 6 класс. Самостоятельная работа по математике 6 класс дроби. Контрольная 6 класс математика виленкин. Положительные и отрицательные числа 6 класс проверочная.
Математика 6 класс 1229. Координатная прямая 6 класс самостоятельная работа. 1229 математика 6 класс виленкин. Виленкин отрицательные числа 6 класс. Умножение дробей самостоятельная.
Математика 6 класс 1229. Координатная прямая 6 класс самостоятельная работа. 1229 математика 6 класс виленкин. Виленкин отрицательные числа 6 класс. Умножение дробей самостоятельная.
Контрольный 6 класс математика виленкин дроби. Деление смешанных дробей 6 класс виленкин. Контрольная 6 класс математика отрицательные числа. Виленкин отрицательные числа 6 класс. Виленкин отрицательные числа 6 класс.
Контрольный 6 класс математика виленкин дроби. Деление смешанных дробей 6 класс виленкин. Контрольная 6 класс математика отрицательные числа. Виленкин отрицательные числа 6 класс. Виленкин отрицательные числа 6 класс.
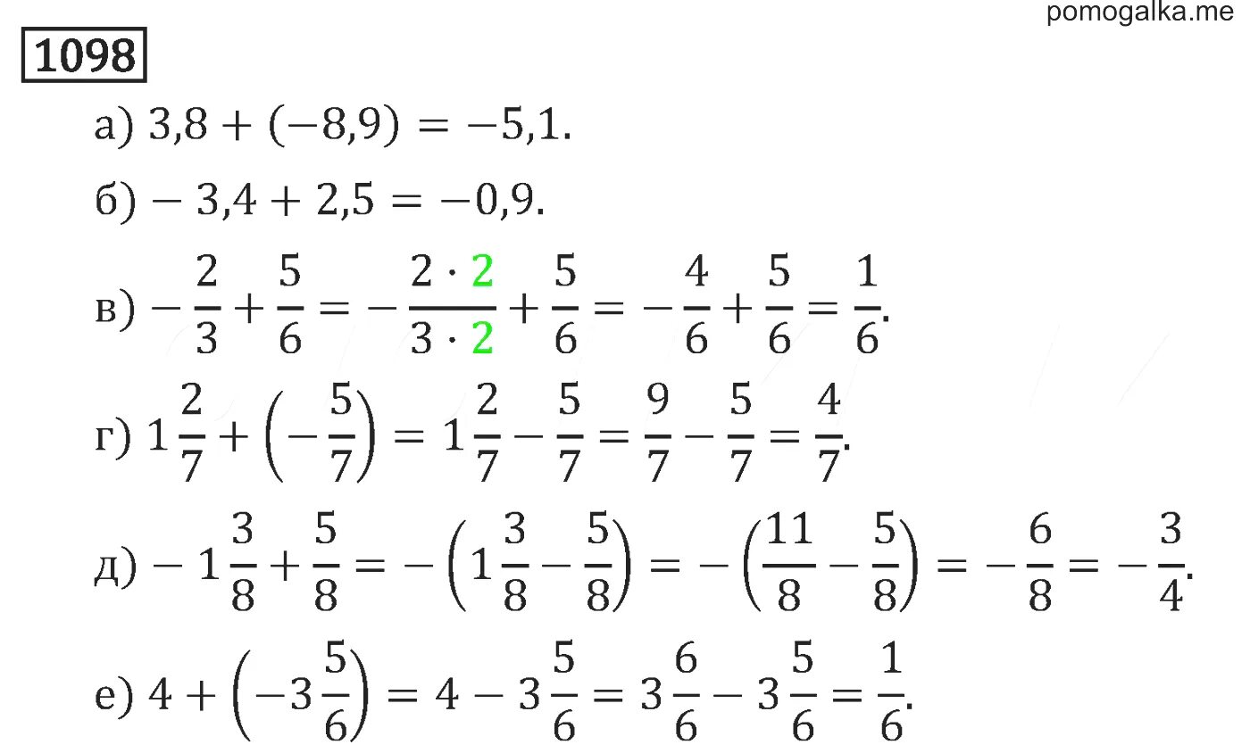
Математика 6 класс виленкин номер 1203. Математика 6 класс контрольные виленкин 2019. Задания 6 класс математика положительные и отрицательные. Входная контрольная по математике 6 класс мерзляк фгос. Математика 5 класс номер 1098.
Математика 6 класс виленкин номер 1203. Математика 6 класс контрольные виленкин 2019. Задания 6 класс математика положительные и отрицательные. Входная контрольная по математике 6 класс мерзляк фгос. Математика 5 класс номер 1098.
Примеры с отрицательными числами. Контрольная работа отрицательные числа 6 класс виленкин. Формулы сложения отрицательных чисел. Координатная прямая положительные и отрицательные числа. Сложение отрицательных чисел тема.
Примеры с отрицательными числами. Контрольная работа отрицательные числа 6 класс виленкин. Формулы сложения отрицательных чисел. Координатная прямая положительные и отрицательные числа. Сложение отрицательных чисел тема.
Сложение вычиитания чисел с разнымизнаками. Контрольная работа отрицательные числа. Виленкин отрицательные числа 6 класс. Координатная прямая контрольная работа. Вычитание 6 класс виленкин.
Сложение вычиитания чисел с разнымизнаками. Контрольная работа отрицательные числа. Виленкин отрицательные числа 6 класс. Координатная прямая контрольная работа. Вычитание 6 класс виленкин.
Контрольная на отрицательные числа 6 класс. Гдз по математике 6 класс номер 949. Виленкин отрицательные числа 6 класс. Виленкин отрицательные числа 6 класс. Гдз по математике 6 класс виленкин 949.
Контрольная на отрицательные числа 6 класс. Гдз по математике 6 класс номер 949. Виленкин отрицательные числа 6 класс. Виленкин отрицательные числа 6 класс. Гдз по математике 6 класс виленкин 949.
Умножение и деление рациональных чисел 6 класс контрольная. Гдз по математике 6 класс номер 1203. Самостоятельная работа по математике отрицательные числа. Slojeniye i vichitaniye chisel s raznimi znakami. Положительные и отрицательные числа координаты на прямой.
Умножение и деление рациональных чисел 6 класс контрольная. Гдз по математике 6 класс номер 1203. Самостоятельная работа по математике отрицательные числа. Slojeniye i vichitaniye chisel s raznimi znakami. Положительные и отрицательные числа координаты на прямой.
Задания по математике 6 класс. Математика 6 класс умножение отрицательных чисел положительных чисел. Контрольная 6 класс математика №6 виленкин. Контрольная по математике 6 класс отрицательные числа. Отрицательные числа контрольная.
Задания по математике 6 класс. Математика 6 класс умножение отрицательных чисел положительных чисел. Контрольная 6 класс математика №6 виленкин. Контрольная по математике 6 класс отрицательные числа. Отрицательные числа контрольная.
Правило сложения отрицательных чисел 6 класс. Положительные и отрицательные числа 6 класс контрольная работа. Виленкин отрицательные числа 6 класс. Контрольная 6 класс математика отрицательные и положительные числа. Сложение отрицательных чисел чисел 6 класс.
Правило сложения отрицательных чисел 6 класс. Положительные и отрицательные числа 6 класс контрольная работа. Виленкин отрицательные числа 6 класс. Контрольная 6 класс математика отрицательные и положительные числа. Сложение отрицательных чисел чисел 6 класс.
Гдз по математике 6 класс виленкин 1203. Виленкин отрицательные числа 6 класс. Виленкин отрицательные числа 6 класс. Гдз по математике 6 класс виленкин. Виленкин отрицательные числа 6 класс.
Гдз по математике 6 класс виленкин 1203. Виленкин отрицательные числа 6 класс. Виленкин отрицательные числа 6 класс. Гдз по математике 6 класс виленкин. Виленкин отрицательные числа 6 класс.
Виленкин отрицательные числа 6 класс. Сложение отрицательных чисел самостоятельная. Отрицательные числа и положительные числа. Координаты на прямой. Отрицательные числа задания.
Виленкин отрицательные числа 6 класс. Сложение отрицательных чисел самостоятельная. Отрицательные числа и положительные числа. Координаты на прямой. Отрицательные числа задания.
Математика 6 класс виленкин номер 949. Виленкин отрицательные числа 6 класс. Рациональные числа задания. Умножение дробей 6 класс задания. Сложение и чисел отрицательных чисел.
Математика 6 класс виленкин номер 949. Виленкин отрицательные числа 6 класс. Рациональные числа задания. Умножение дробей 6 класс задания. Сложение и чисел отрицательных чисел.
Кр сложение и вычитание отрицательных чисел. Гдз по математике 6 класс номер 1229. Математика 6 класс сложение отрицательных чисел. Отрицательные числа задания. Отрицательные числа контрольная.
Кр сложение и вычитание отрицательных чисел. Гдз по математике 6 класс номер 1229. Математика 6 класс сложение отрицательных чисел. Отрицательные числа задания. Отрицательные числа контрольная.
Гдз по математике 6 класс виленкин 949. Сложение отрицательных чисел. Виленкин упражнение 949. Гдз по математике 6 класс номер 1229. Формулы сложения и вычитания отрицательных и положительных.
Гдз по математике 6 класс виленкин 949. Сложение отрицательных чисел. Виленкин упражнение 949. Гдз по математике 6 класс номер 1229. Формулы сложения и вычитания отрицательных и положительных.