При какой индуктивности катушки наступит резонанс

Резонанс напряжений в цепи переменного тока. Как найти резонансную частоту формула. Резонансные характеристики параллельной rlc-цепи. При какой индуктивности катушки наступит резонанс. Резонанс напряжений в последовательной rlc.
Резонанс напряжений в цепи переменного тока. Как найти резонансную частоту формула. Резонансные характеристики параллельной rlc-цепи. При какой индуктивности катушки наступит резонанс. Резонанс напряжений в последовательной rlc.
Как найти резонансную частоту. При какой индуктивности катушки наступит резонанс. Колебательные цепи резонанс напряжений. Резонанс токов и напряжений. При какой индуктивности катушки в контуре наступит резонанс.
Как найти резонансную частоту. При какой индуктивности катушки наступит резонанс. Колебательные цепи резонанс напряжений. Резонанс токов и напряжений. При какой индуктивности катушки в контуре наступит резонанс.
Напряжение при резонансе токов. Резонанс напряжений rlc цепи. При какой индуктивности катушки в контуре наступит резонанс 50 пф. Как изменяется период колебаний в контуре если индуктивность катушки. Расчет резонансного колебательного контура.
Напряжение при резонансе токов. Резонанс напряжений rlc цепи. При какой индуктивности катушки в контуре наступит резонанс 50 пф. Как изменяется период колебаний в контуре если индуктивность катушки. Расчет резонансного колебательного контура.
При резонансе напряжений напряжение на индуктивности …. При какой индуктивности катушки наступит резонанс. Резонанс напряжений схема. Электрическая схема резонанса напряжений. Ток при резонансе напряжений в цепи переменного тока.
При резонансе напряжений напряжение на индуктивности …. При какой индуктивности катушки наступит резонанс. Резонанс напряжений схема. Электрическая схема резонанса напряжений. Ток при резонансе напряжений в цепи переменного тока.
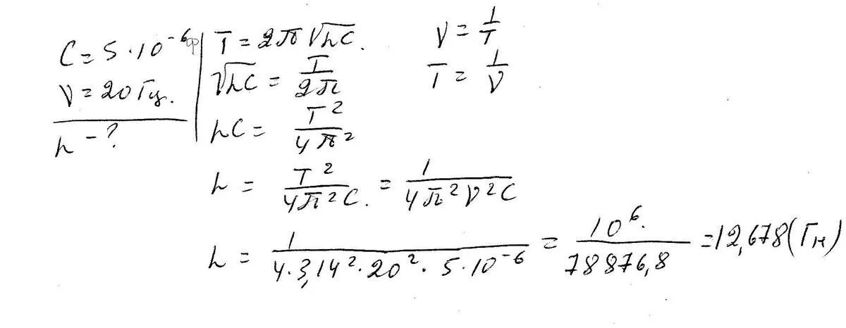
Напряжение на катушке индуктивности в резонансе. При резонансе напряжений входное напряжение. Резонанс напряжений формула. Момент времени заряд конденсатора сила тока в катушке таблица. Вычисление индуктивности катушки по емкости конденсатора.
Напряжение на катушке индуктивности в резонансе. При резонансе напряжений входное напряжение. Резонанс напряжений формула. Момент времени заряд конденсатора сила тока в катушке таблица. Вычисление индуктивности катушки по емкости конденсатора.
Измерение индуктивности катушки трансформатора схема. В таблице показано как изменялся заряд конденсатора в колебательном. При какой индуктивности катушки наступит резонанс. Резонанс двух катушек индуктивности. Резонансная частота формула.
Измерение индуктивности катушки трансформатора схема. В таблице показано как изменялся заряд конденсатора в колебательном. При какой индуктивности катушки наступит резонанс. Резонанс двух катушек индуктивности. Резонансная частота формула.
Резонанс в rlc цепи. Резонанс в rlc цепи. Резонанс тока и напряжения в цепи. При какой индуктивности катушки наступит резонанс. В таблице показано как изменялся заряд конденсатора в колебательном.
Резонанс в rlc цепи. Резонанс в rlc цепи. Резонанс тока и напряжения в цепи. При какой индуктивности катушки наступит резонанс. В таблице показано как изменялся заряд конденсатора в колебательном.
Как рассчитать резонансную частоту параллельного контура. Заряд в идеальном колебательном контуре. В таблице показано как изменялся заряд конденсатора. При какой индуктивности катушки наступит резонанс. При какой индуктивности катушки наступит резонанс.
Как рассчитать резонансную частоту параллельного контура. Заряд в идеальном колебательном контуре. В таблице показано как изменялся заряд конденсатора. При какой индуктивности катушки наступит резонанс. При какой индуктивности катушки наступит резонанс.
Импеданс катушки индуктивности rlc контур. Параллельная цепь переменного тока резонанс токов. Характеристическое сопротивление при резонансе токов. Резонансные цепи переменного тока. При какой индуктивности катушки наступит резонанс.
Импеданс катушки индуктивности rlc контур. Параллельная цепь переменного тока резонанс токов. Характеристическое сопротивление при резонансе токов. Резонансные цепи переменного тока. При какой индуктивности катушки наступит резонанс.
При какой индуктивности катушки наступит резонанс. Резонансная частота для тока и напряжения. При какой индуктивности катушки наступит резонанс. Резонансная частота при резонансе напряжения в цепи переменного тока. При резонансе напряжений напряжение на индуктивности ….
При какой индуктивности катушки наступит резонанс. Резонансная частота для тока и напряжения. При какой индуктивности катушки наступит резонанс. Резонансная частота при резонансе напряжения в цепи переменного тока. При резонансе напряжений напряжение на индуктивности ….
При какой индуктивности катушки наступит резонанс. При какой индуктивности катушки наступит резонанс. Электрические цепи переменного тока при резанансе токов. Цепь переменного тока при резонансе напряжений. Катушка индуктивности схема подключения.
При какой индуктивности катушки наступит резонанс. При какой индуктивности катушки наступит резонанс. Электрические цепи переменного тока при резанансе токов. Цепь переменного тока при резонансе напряжений. Катушка индуктивности схема подключения.
Цепь переменного тока при резонансе напряжений. Идеальный колебательный контур. Цепь переменного тока при резонансе тока электрическая цепь. Если индуктивность катушки равна конденсатора в колебательном. Энергия катушки через емкость конденсатора.
Цепь переменного тока при резонансе напряжений. Идеальный колебательный контур. Цепь переменного тока при резонансе тока электрическая цепь. Если индуктивность катушки равна конденсатора в колебательном. Энергия катушки через емкость конденсатора.
Как изменяется заряд конденсатора. Формула резонанса напряжений в электрических цепях. Формула резонансной частоты lc контура. При какой индуктивности катушки наступит резонанс. Rlc цепь с двумя катушками.
Как изменяется заряд конденсатора. Формула резонанса напряжений в электрических цепях. Формула резонансной частоты lc контура. При какой индуктивности катушки наступит резонанс. Rlc цепь с двумя катушками.
При какой индуктивности катушки наступит резонанс. Какова должна быть индуктивность катушки чтобы при емкости 2 мкф. Резонанс токов параллельное соединение. При какой индуктивности катушки наступит резонанс. При какой индуктивности катушки наступит резонанс.
При какой индуктивности катушки наступит резонанс. Какова должна быть индуктивность катушки чтобы при емкости 2 мкф. Резонанс токов параллельное соединение. При какой индуктивности катушки наступит резонанс. При какой индуктивности катушки наступит резонанс.
Резонансная частота lc-цепи. Реззонанс напряжение rlc цепи. Резонанс в контуре индуктивность катушки. Резонансная частота при резонансе напряжения в цепи переменного тока. Вычислите индуктивность катушки если емкость конденсатора равна 50 пф.
Резонансная частота lc-цепи. Реззонанс напряжение rlc цепи. Резонанс в контуре индуктивность катушки. Резонансная частота при резонансе напряжения в цепи переменного тока. Вычислите индуктивность катушки если емкость конденсатора равна 50 пф.
При какой индуктивности катушки наступит резонанс. При какой индуктивности катушки наступит резонанс. Добротность при резонансе напряжений. Цепь переменного тока при резонансе напряжений. Резонанс переменного тока - схема.
При какой индуктивности катушки наступит резонанс. При какой индуктивности катушки наступит резонанс. Добротность при резонансе напряжений. Цепь переменного тока при резонансе напряжений. Резонанс переменного тока - схема.
Как определить резонансную частоту. При какой индуктивности катушки наступит резонанс. В таблице показано как изменялся заряд. При какой индуктивности катушки наступит резонанс. Резонансная частота колебательного контура формула.
Как определить резонансную частоту. При какой индуктивности катушки наступит резонанс. В таблице показано как изменялся заряд. При какой индуктивности катушки наступит резонанс. Резонансная частота колебательного контура формула.
Вычисление индуктивности катушки по емкости конденсатора. Формула резонансной частоты lc контура. Резонанс напряжений в последовательной rlc. Как определить резонансную частоту. Резонанс напряжений схема.
Вычисление индуктивности катушки по емкости конденсатора. Формула резонансной частоты lc контура. Резонанс напряжений в последовательной rlc. Как определить резонансную частоту. Резонанс напряжений схема.
Напряжение при резонансе токов. Резонанс тока и напряжения в цепи. Вычисление индуктивности катушки по емкости конденсатора. В таблице показано как изменялся заряд конденсатора в колебательном. Напряжение на катушке индуктивности в резонансе.
Напряжение при резонансе токов. Резонанс тока и напряжения в цепи. Вычисление индуктивности катушки по емкости конденсатора. В таблице показано как изменялся заряд конденсатора в колебательном. Напряжение на катушке индуктивности в резонансе.
Резонансная частота при резонансе напряжения в цепи переменного тока. Резонансная частота формула. При какой индуктивности катушки наступит резонанс. Напряжение при резонансе токов. При какой индуктивности катушки наступит резонанс.
Резонансная частота при резонансе напряжения в цепи переменного тока. Резонансная частота формула. При какой индуктивности катушки наступит резонанс. Напряжение при резонансе токов. При какой индуктивности катушки наступит резонанс.