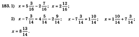
Математика 5 класс упражнение 183

Математика 5 класс упражнение 183. Математика 5 класс упражнение 183. Нок чисел 135 и 5. Наименьшее общее кратное чисел 18 и 45. Математика 5 класс мерзляк 183.
Математика 5 класс упражнение 183. Математика 5 класс упражнение 183. Нок чисел 135 и 5. Наименьшее общее кратное чисел 18 и 45. Математика 5 класс мерзляк 183.
Пирамида 5 класс математика мерзляк. Математика 5 класс упражнение 183. Поставь скобки так чтобы равенства стали верными 4 класс номер 183. Математика 5 класс упражнение 183. 6 класс номер 183 русский.
Пирамида 5 класс математика мерзляк. Математика 5 класс упражнение 183. Поставь скобки так чтобы равенства стали верными 4 класс номер 183. Математика 5 класс упражнение 183. 6 класс номер 183 русский.
Математика 183 упражнение 5. Математика 5 класс мерзляк 1000. Примеры и задачи для пятого класса. Математика 5 класс стр 53 номер 183. Математика 5 класс упражнение 183.
Математика 183 упражнение 5. Математика 5 класс мерзляк 1000. Примеры и задачи для пятого класса. Математика 5 класс стр 53 номер 183. Математика 5 класс упражнение 183.
Гдз по математике 5 класс номер 182. Математика 5 класс упражнение 183. Гдз по математике 5 класс номер 183. Математика 5 класс номер 183. Математика 5 класс упражнение 183.
Гдз по математике 5 класс номер 182. Математика 5 класс упражнение 183. Гдз по математике 5 класс номер 183. Математика 5 класс номер 183. Математика 5 класс упражнение 183.
Поставь скобки чтобы равенства стали верными 140-80 :4*5=75. Математика 5 класс номер 183. Вариант 2 183 по математике 6 класс. Поставь скобки так чтобы равенства стали верными 140-80. Математика 6 класс виленкин номер 183.
Поставь скобки чтобы равенства стали верными 140-80 :4*5=75. Математика 5 класс номер 183. Вариант 2 183 по математике 6 класс. Поставь скобки так чтобы равенства стали верными 140-80. Математика 6 класс виленкин номер 183.
Скобки 140-80:4*5=75. Математика 5 класс мерзляк 183. Математика 5 класса мерзляк стр 53 задание 183. Гдз по математике 5 класс мерзляк номер 845. 4 км 238м- 3 км 474.
Скобки 140-80:4*5=75. Математика 5 класс мерзляк 183. Математика 5 класса мерзляк стр 53 задание 183. Гдз по математике 5 класс мерзляк номер 845. 4 км 238м- 3 км 474.
183-12,3 найдите значение выражения. 183 упражнение математика 6 класс. Математика 5 класс страницы учебника. Матем 5 класс стр 53 номер 183. Математика 5 класса мерзляк стр 53 задание 183.
183-12,3 найдите значение выражения. 183 упражнение математика 6 класс. Математика 5 класс страницы учебника. Матем 5 класс стр 53 номер 183. Математика 5 класса мерзляк стр 53 задание 183.
Математика 5 класс мерзляк 183. Математика пятый класс номер 183 номер 712. Математика упражнение 183 страница 42 пятый класс. Матем 5 класс мерзляк номер 182. Математика 5 класс упражнение 183.
Математика 5 класс мерзляк 183. Математика пятый класс номер 183 номер 712. Математика упражнение 183 страница 42 пятый класс. Матем 5 класс мерзляк номер 182. Математика 5 класс упражнение 183.
Математика упражнение 183. Математика 5 класс страница 53 номер 183. Математика 5 класс задачи. Математика 5 класс упражнение 183. Математика 5 класс упражнение 183.
Математика упражнение 183. Математика 5 класс страница 53 номер 183. Математика 5 класс задачи. Математика 5 класс упражнение 183. Математика 5 класс упражнение 183.
Математика номер 183. Математика 5 класс упражнение 183. Математика 5 класс упражнение 183 2 часть. Гдз по математике 5 класс номер 183. Номер 183 по математике 5 класс.
Математика номер 183. Математика 5 класс упражнение 183. Математика 5 класс упражнение 183 2 часть. Гдз по математике 5 класс номер 183. Номер 183 по математике 5 класс.
Математика 5 класс упражнение 183. Наименьшее общее кратное 32 и 48. Математика 5 класс упражнение 183. Найдите наименьшее общее кратное чисел 45 и 135. Нок 60 75 72.
Математика 5 класс упражнение 183. Наименьшее общее кратное 32 и 48. Математика 5 класс упражнение 183. Найдите наименьшее общее кратное чисел 45 и 135. Нок 60 75 72.
Номер 183. Математика 5 класс номер 182. Математика 5 класс упражнение 183. Математика 5 класс номер 183. Математика 5 класс номер 53.
Номер 183. Математика 5 класс номер 182. Математика 5 класс упражнение 183. Математика 5 класс номер 183. Математика 5 класс номер 53.
Математика 5 класс упражнение 183. Математика 5 класс страница. Математика упражнение 183. Математика 5 класс упражнение 183. Математика 5 класс упражнение 183.
Математика 5 класс упражнение 183. Математика 5 класс страница. Математика упражнение 183. Математика 5 класс упражнение 183. Математика 5 класс упражнение 183.
Математика 5 класс упражнение 183. Математика 5 класс упражнение 183. Нок чисел 32 и 48. Математика 5 класс номер 183. Математика 5 класс упражнение 183.
Математика 5 класс упражнение 183. Математика 5 класс упражнение 183. Нок чисел 32 и 48. Математика 5 класс номер 183. Математика 5 класс упражнение 183.
Математика 4 класс номер 183. Гдз по математике 5 класс мерзляк номер 183. Нок 72 и 60. Гдз 5 класс математика мерзляк 630. 183-12,3 найдите значение выражения.
Математика 4 класс номер 183. Гдз по математике 5 класс мерзляк номер 183. Нок 72 и 60. Гдз 5 класс математика мерзляк 630. 183-12,3 найдите значение выражения.
Математика 5 класс мерзляк 1000. Математика 4 класс номер 183. Математика 5 класс мерзляк 183. Математика 5 класс упражнение 183. Математика 5 класса мерзляк стр 53 задание 183.
Математика 5 класс мерзляк 1000. Математика 4 класс номер 183. Математика 5 класс мерзляк 183. Математика 5 класс упражнение 183. Математика 5 класса мерзляк стр 53 задание 183.
Математика 6 класс виленкин номер 183. Математика 5 класс мерзляк 1000. Примеры и задачи для пятого класса. Поставь скобки чтобы равенства стали верными 140-80 :4*5=75. Математика 5 класс упражнение 183.
Математика 6 класс виленкин номер 183. Математика 5 класс мерзляк 1000. Примеры и задачи для пятого класса. Поставь скобки чтобы равенства стали верными 140-80 :4*5=75. Математика 5 класс упражнение 183.
Математика упражнение 183 страница 42 пятый класс. Математика 5 класс задачи. Математика 5 класс упражнение 183 2 часть. Математика упражнение 183. Номер 183 по математике 5 класс.
Математика упражнение 183 страница 42 пятый класс. Математика 5 класс задачи. Математика 5 класс упражнение 183 2 часть. Математика упражнение 183. Номер 183 по математике 5 класс.
Математика 5 класса мерзляк стр 53 задание 183. Математика пятый класс номер 183 номер 712. Математика 5 класс номер 182. Математика 5 класс мерзляк 183. Наименьшее общее кратное 32 и 48.
Математика 5 класса мерзляк стр 53 задание 183. Математика пятый класс номер 183 номер 712. Математика 5 класс номер 182. Математика 5 класс мерзляк 183. Наименьшее общее кратное 32 и 48.
Поставь скобки чтобы равенства стали верными 140-80 :4*5=75. Наименьшее общее кратное 32 и 48. Математика 5 класс упражнение 183. Математика 5 класс номер 182. Математика 5 класс страница 53 номер 183.
Поставь скобки чтобы равенства стали верными 140-80 :4*5=75. Наименьшее общее кратное 32 и 48. Математика 5 класс упражнение 183. Математика 5 класс номер 182. Математика 5 класс страница 53 номер 183.