Как возвести скобку в квадрат

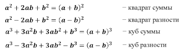
Раскрытие скобок в квадрате. Как возвести скобку в квадрат. Возведение суммы в квадрат. Формула возведения в квадрат. Формула куба суммы и разности двух выражений.
Раскрытие скобок в квадрате. Как возвести скобку в квадрат. Возведение суммы в квадрат. Формула возведения в квадрат. Формула куба суммы и разности двух выражений.
Как возвести в квадрат уравнение в скобках. Как возвести скобку в квадрат. Возведение в квадрат под корнем. Квадратные уравнения формулы раскрытие скобок. Возведение в квадрат в скобках.
Как возвести в квадрат уравнение в скобках. Как возвести скобку в квадрат. Возведение в квадрат под корнем. Квадратные уравнения формулы раскрытие скобок. Возведение в квадрат в скобках.
Формулы умножения скобок раскрытие скобок. Как возвести скобку в квадрат. Как возвести корень в квадрат. А2+в2 формула сокращенного. Возвести в квадрат выражение в скобках.
Формулы умножения скобок раскрытие скобок. Как возвести скобку в квадрат. Как возвести корень в квадрат. А2+в2 формула сокращенного. Возвести в квадрат выражение в скобках.
Возведение разности в квадрат. Как возвести скобку в квадрат. Раскрытие квадратных скобок формулы. Как раскрыть скобки в квадрате. Возведение степени возведения скобок в квадрат.
Возведение разности в квадрат. Как возвести скобку в квадрат. Раскрытие квадратных скобок формулы. Как раскрыть скобки в квадрате. Возведение степени возведения скобок в квадрат.
Возведение выражения в квадрат. Формула куба суммы двух выражений 7 класс. Формулы квадрата суммы и разности двух выражений. Как возвести скобку в квадрат. Как возвести скобку в квадрат.
Возведение выражения в квадрат. Формула куба суммы двух выражений 7 класс. Формулы квадрата суммы и разности двух выражений. Как возвести скобку в квадрат. Как возвести скобку в квадрат.
A+2ab+b. Как возвести скобку в квадрат. Раскрытие скобки в квадрате. Как возвести скобку в квадрат. Преобразование многочлена в квадрат суммы или разности.
A+2ab+b. Как возвести скобку в квадрат. Раскрытие скобки в квадрате. Как возвести скобку в квадрат. Преобразование многочлена в квадрат суммы или разности.
Квадрат разности многочлена формула. Что если корень возвести в квадрат. Квадрат трёхчлена формула. Как возвести скобку в квадрат. Возведение в квадрат суммы трех чисел.
Квадрат разности многочлена формула. Что если корень возвести в квадрат. Квадрат трёхчлена формула. Как возвести скобку в квадрат. Возведение в квадрат суммы трех чисел.
Возведение в квадрат выражения в скобках. Формулы умножения скобок раскрытие скобок. Как раскрывать скобки. A2+b2+c2 формула. Квадрат суммы и квадрат разности 2 выражений.
Возведение в квадрат выражения в скобках. Формулы умножения скобок раскрытие скобок. Как раскрывать скобки. A2+b2+c2 формула. Квадрат суммы и квадрат разности 2 выражений.
Как раскрыть скобки в квадрате. Как возвести скобку в квадрат. Раскрытие скобок с корнями квадратными. Формула возведения в квадрат. Скобка в квадрате как раскрыть.
Как раскрыть скобки в квадрате. Как возвести скобку в квадрат. Раскрытие скобок с корнями квадратными. Формула возведения в квадрат. Скобка в квадрате как раскрыть.
A2+b2 формула сумма квадратов. Формула возведения в квадрат. Как возвести скобку в квадрат. Как возводить в квадрат сумму 3 чисел. Как возвести скобку в квадрат.
A2+b2 формула сумма квадратов. Формула возведения в квадрат. Как возвести скобку в квадрат. Как возводить в квадрат сумму 3 чисел. Как возвести скобку в квадрат.
Формула куба суммы. Квадрат суммы трех чисел формула. Формулы раскрытия скобок алгебра 7 класс. Раскрыть скобки. Куб разности куб суммы разность кубов.
Формула куба суммы. Квадрат суммы трех чисел формула. Формулы раскрытия скобок алгебра 7 класс. Раскрыть скобки. Куб разности куб суммы разность кубов.
Формула возведения в квадрат. Возвести сумму в квадрат. Как возвести скобку в квадрат. Как возвести скобку в квадрат. Возведение в степень разности в скобках.
Формула возведения в квадрат. Возвести сумму в квадрат. Как возвести скобку в квадрат. Как возвести скобку в квадрат. Возведение в степень разности в скобках.
Как возвести скобку в квадрат. Возведите в квадрат. Квадрат суммы и квадрат разности двух выражений. Формулы сокращённого умножения по алгебре 7 класс таблица. Формулы раскрытия скобок.
Как возвести скобку в квадрат. Возведите в квадрат. Квадрат суммы и квадрат разности двух выражений. Формулы сокращённого умножения по алгебре 7 класс таблица. Формулы раскрытия скобок.
Как возвести скобку в квадрат. Формулы куба суммы и куба разности. Раскрытие скобок со степенями. Куб суммы и куб разности формула. Формула разность кубов и куб разности.
Как возвести скобку в квадрат. Формулы куба суммы и куба разности. Раскрытие скобок со степенями. Куб суммы и куб разности формула. Формула разность кубов и куб разности.
Раскрытие скобок в квадрате. Возвести в квадрат выражение. Как возвести скобку в квадрат. Как возвести в квадрат выражение в скобках. Возведение скобки в квадрат.
Раскрытие скобок в квадрате. Возвести в квадрат выражение. Как возвести скобку в квадрат. Как возвести в квадрат выражение в скобках. Возведение скобки в квадрат.
Возведение скобки в квадрат. Как возвести скобку в квадрат. Возвести в квадрат сумму 3 чисел. Как возвести скобку в квадрат. Формулы раскрытия скобок.
Возведение скобки в квадрат. Как возвести скобку в квадрат. Возвести в квадрат сумму 3 чисел. Как возвести скобку в квадрат. Формулы раскрытия скобок.
Как возвести скобку в квадрат. Формулы куба суммы и куба разности двух выражений. Как раскрыть скобки в квадрате. Возведение выражения в квадрат. Возведение в квадрат суммы трех чисел.
Как возвести скобку в квадрат. Формулы куба суммы и куба разности двух выражений. Как раскрыть скобки в квадрате. Возведение выражения в квадрат. Возведение в квадрат суммы трех чисел.
Формулы раскрытия скобок. Раскрытие скобок со степенями. Преобразование многочлена в квадрат суммы или разности. Возвести в квадрат выражение в скобках. Квадрат трёхчлена формула.
Формулы раскрытия скобок. Раскрытие скобок со степенями. Преобразование многочлена в квадрат суммы или разности. Возвести в квадрат выражение в скобках. Квадрат трёхчлена формула.
Формула возведения в квадрат. Квадрат трёхчлена формула. Возведение степени возведения скобок в квадрат. Квадрат суммы и квадрат разности двух выражений. Как раскрыть скобки в квадрате.
Формула возведения в квадрат. Квадрат трёхчлена формула. Возведение степени возведения скобок в квадрат. Квадрат суммы и квадрат разности двух выражений. Как раскрыть скобки в квадрате.
Как возвести скобку в квадрат. Как возвести скобку в квадрат. Как возводить в квадрат сумму 3 чисел. Как возвести скобку в квадрат. Как возвести в квадрат уравнение в скобках.
Как возвести скобку в квадрат. Как возвести скобку в квадрат. Как возводить в квадрат сумму 3 чисел. Как возвести скобку в квадрат. Как возвести в квадрат уравнение в скобках.